
EHC型泵在船舶上可作压载、消防,舱底、冷却等用途,适用介质为海水和淡水。
1.采用后开门形式,使得在不动管路情况下可对泵进行拆检。
2.水利上采取了无过载设计(即功率曲线有极值),使得泵在任何工况下运行都不会产生超载问题。
3.先进的水利设计,使泵具有优良的汽蚀性能,从而使得泵在偏离设计工况以及进口条件比较恶劣的情况下运行都能有效地避免汽蚀。
该泵为卧式单级单吸结构,主要有泵体,泵盖,叶轮,泵轴,轴承体,弹性联轴器,轴封,泵座等组成。不用拆卸进出口管线就能很容易的把泵分解。泵轴和电机轴通过弹性柱销联轴器联接,叶轮通过锁紧螺母与键固定在轴上,为抵抗在非正常情况下产生的轴向力,轴承体在泵体一侧装有角推力轴承,在联轴器一侧为深沟球轴承。泵轴封可根据需要采用填料或机械密封两种形式。并且都有独立的冲洗系统














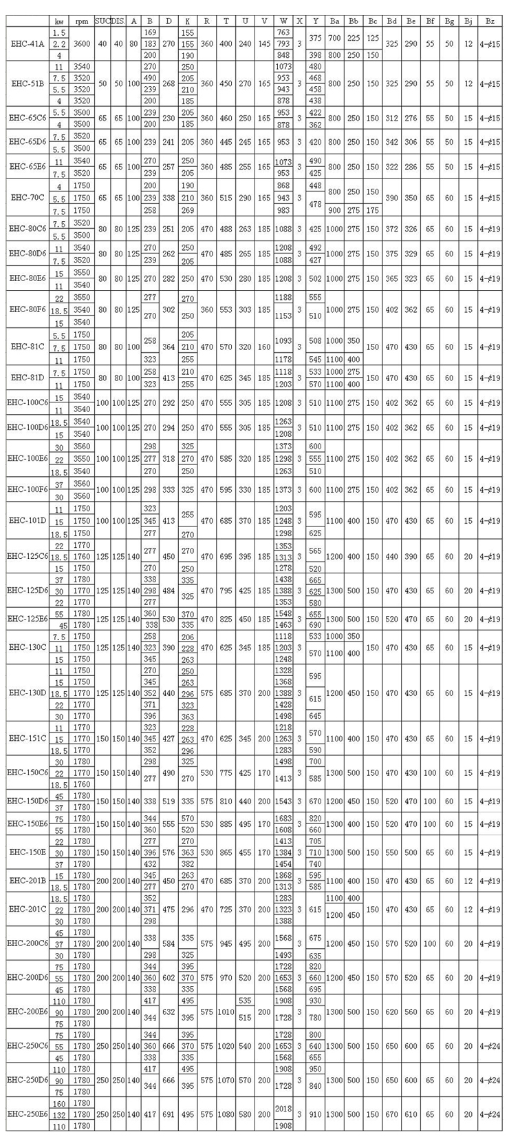
1.本网页显示的EHC型船用泵图片、尺寸、标准、参数表等样本信息,为"LQ牌"船用泵厂家上海连渠泵业所有,请勿转载,转载必究。
2.上海连渠泵业有限公司是一家专业的船用泵生产厂家/制造商。生产的EHC型船用泵,质量可靠,价格合理,如果还需要了解其他船用泵,请来电咨询,我们也可根据客户要求专门定制。
3.由于编辑水平有限,以上信息仅作参考之用,错误和不妥之处在所难免,真诚希望您批评指正。
船用泵是各种船只上需要以一定压力输送液体的主要机泵设备,由于船只的漂浮于水面上的特殊性,船用泵对质量的要求要比一般通用机泵高。上海连渠泵业有限公司 生产船用水泵,船用离心泵,船用喷射泵,船用真空泵,船用油泵,船用立式离心泵,船用卧式离心泵等船用泵产品还可选用各种大型海上作业平台,当然更能广泛的应用于污水采样、大流 量液体转移、低噪音连续工作场合;大型、特大型水族馆、小型游泳池、鱼塘补水、蓄水池补水、喷泉、鱼塘投饵料等以场所及其他多种用途......