
EMC型船用立式离心泵是我公司在消化吸收国外先进技术的基础上自行开发的在水利设计和结构设计上有特殊创新并且完全按照船用条件设计制造的新一代船用离心泵产品。
该泵在船舶上可作压载、消防,舱底、冷却等用途,适用介质为海水和淡水。
该泵可根据需要配带喷射式真空泵(外界压缩空气驱动)自吸装置,从而实现自吸功能。
该泵具有以下鲜明特点:
1.转子部件通过刚性联轴器与电机轴联接,并且在转子下部安装导轴承,有效增加了转子的刚性。
2,。泵体采用整体铸造结构。
3.泵体压出采用双蜗壳结构,使转子径向力自动得到平衡,从而使得泵在完全偏离设计工况下运行也不会产生机械故障。
4.叶轮上采用双密封环以及平衡孔结构,使转子轴向力得到平衡,并且有效地防止了气塞
5.水利上采取了无过载设计(即功率曲线有极值),使得泵在任何工况下运行都不会产生超载问题。
6.先进的水利设计,使得叶轮具有优良的汽蚀性能;泵体吸入室采用对称螺旋结构,使液体流入叶轮时更趋于均匀,进一步改善了泵的汽蚀性能,从而使得泵在偏离设计工况以及进口条件比较恶劣的情况下运行都能有效地避免汽蚀。
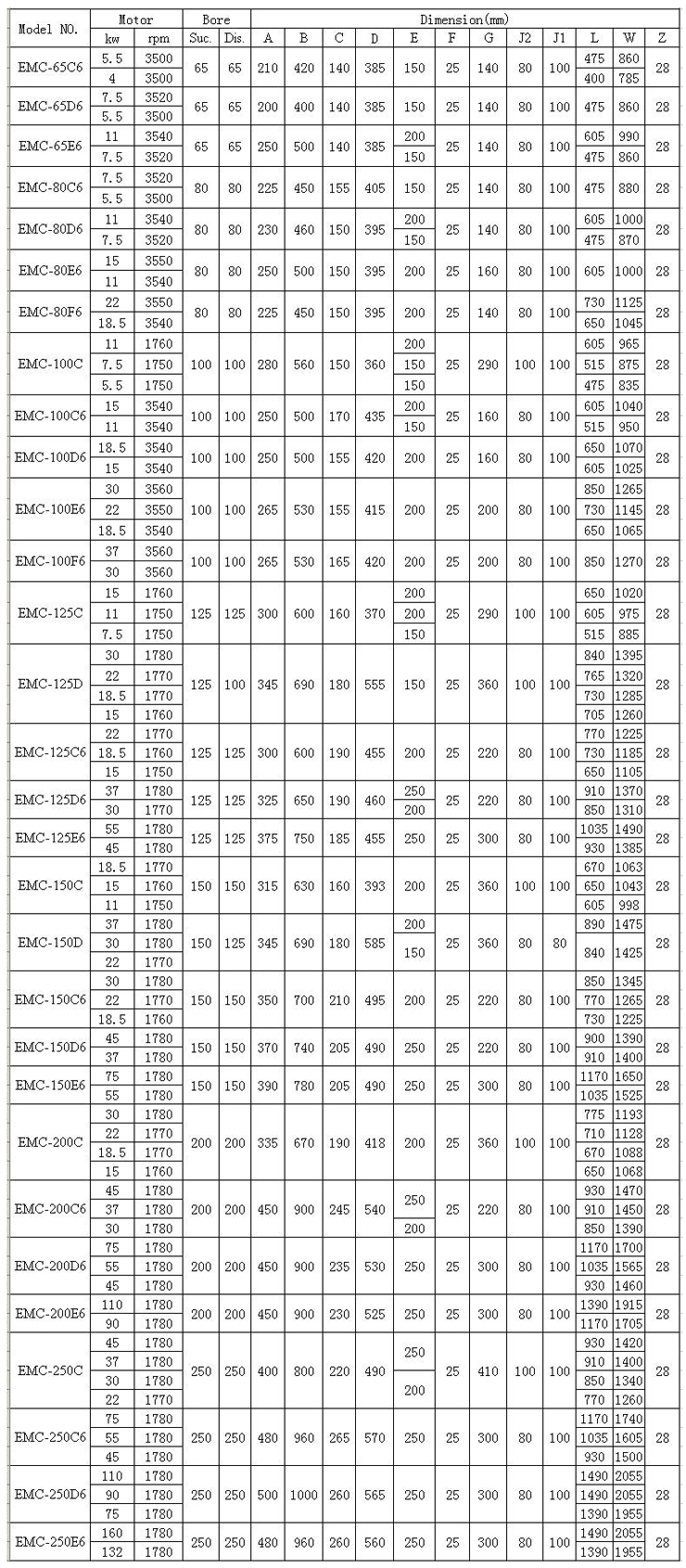
该泵为卧式单级单吸结构,主要有泵体,泵盖,叶轮,泵轴,电机联接架,刚性联轴器,轴封,导轴承,泵座等组成。
泵轴和电机轴通过刚性联轴器联接,叶轮通过锁紧螺母与键固定在轴上。叶轮上部装有具有良好自润滑性以及防烧损复合材料制作的导轴承。
泵盖最高点设有排气阀,避免了泵内形成气囊从而影响泵的运行。
泵轴封可根据需要采用填料或机械密封两种形式,并且都有独立的冲洗系统,当水质情况较为恶劣时,可根据需要加装滤器或旋流器。
压缩空气驱动的喷射式真空泵自吸装置可直接附带在泵上。













1.本网页显示的EMC船用水泵图片、参数表等样本信息,为"LQ牌"船用水泵厂家上海连渠泵业所有,请勿转载,转载必究。
2.上海连渠泵业有限公司是一家专业的船用泵生产厂家/制造商。生产的EMC船用水泵,质量可靠,价格合理,如果还需要了解其他船用泵,请来电咨询,我们也可根据客户要求专门定制。
3.由于编辑水平有限,以上信息仅作参考之用,错误和不妥之处在所难免,真诚希望您批评指正。
船用泵是各种船只上需要以一定压力输送液体的主要机泵设备,由于船只的漂浮于水面上的特殊性,船用泵对质量的要求要比一般通用机泵高。上海连渠泵业有限公司 生产船用水泵,船用离心泵,船用喷射泵,船用真空泵,船用油泵,船用立式离心泵,船用卧式离心泵等船用泵产品还可选用各种大型海上作业平台,当然更能广泛的应用于污水采样、大流 量液体转移、低噪音连续工作场合;大型、特大型水族馆、小型游泳池、鱼塘补水、蓄水池补水、喷泉、鱼塘投饵料等以场所及其他多种用途......